Estimated read time: 7-8 minutes
This archived news story is available only for your personal, non-commercial use. Information in the story may be outdated or superseded by additional information. Reading or replaying the story in its archived form does not constitute a republication of the story.
SALT LAKE CITY — So, have you ever heard of the 4th node?
Sounds like some sci-fi or geek culture esoterica, right? Well, that's not totally off base and now the term, which was coined in a historic tech event in the '60s, has been adopted as the title of a new podcast that's digging into Utah's vibrant legacy, and pivotal role, in the innovation and advancement of cutting-edge technology.
But first, here's what you should know about the origin of the 4th node.
Back in the early '60s, the U.S. federal government was in a mild freakout following Russia's successful launch of the first satellite into space just a few years earlier. Then-Secretary of Defense Robert McNamara declared the country would launch an unprecedented effort to advance research into computers. The brainchild of the effort was the Advanced Research Project Agency that would fund, at unprecedented levels, 12 research centers at U.S. universities, each focusing on different aspects of computer science research.
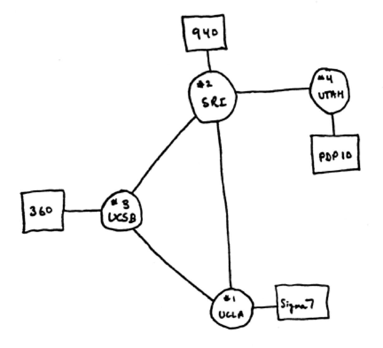
Among those research centers was one at the University of Utah, which, under the direction of another technology pioneer, David Evans, was focusing on man/machine interactions for the agency project. Each of the research nodes had recruited the top computer scientists of the time and, later in the decade, a need arose to connect each effort through a then untried concept of real-time, electronic communications on a shared network.

The legendary computer scientist and Utah native, John Warnock, who would go on to co-found tech giant Adobe in the early 1980s, was a student at the University of Utah as the first iteration of the internet was about to burst forth.
At a 2019 Silicon Slopes event in Salt Lake City, Warnock shared an anecdote about his role in work that led to that debut network.
"In 1968 all of the lead investigators came together at Alta, Utah, in Rustlers Lodge," Warnock said. "I was a (University of Utah) grad student at the time and they invited me to come to this meeting of all the best computer scientists in the world. At that meeting, they approved the communication network that was going to connect all of these centers together and that was the ARPANET … which is now the internet."
In 1969, the University of Utah became the fourth node on the ARPANET — the first outside of California to join the network (after UCLA, Stanford Research Institute and the University of California Santa Barbara). Per a report on the project from the University of Utah, the effort was spearheaded by then-U. computer science professor Ivan Sutherland, an A.M. Turing Award winner.
Later that year, the first "node-to-node" message between research labs at UCLA and Stanford was delivered. "LOGIN" — albeit short and simple — crashed the network after the Stanford computer only received the "L" and "O."
According to its creators, uncovering the nuggets and tales of Utah's fascinating tech history is the mission of the new 4th Node podcast, which debuted earlier this month.
The new series is hosted by Utah tech veterans Adam Edmunds and Nico Dato, currently the chief executive officer and chief marketing officer, respectively, of Lehi-based property management software innovator Entrata.
Edmunds said he started hearing stories early in his tech career about the pioneering Utah companies that were the basis for a local tech ecosystem that would later evolve into an economic juggernaut.

"That's when I started to learn about how Silicon Slopes was built," Edmunds said. "I heard stories about ARPANET, Evans and Sutherland, Ed Catmull and so many others. At the time, I was just trying to learn as much as I could from different people."
Idle at home during the worst of the COVID-19 pandemic, and before he took over the reins as chief executive at Entrata, Edmunds hatched the idea of doing a podcast.
"I was thinking about all the things I had learned about the early days, the evolution that led to Silicon Slopes," Edmunds said. "I wanted to do the podcast to make sure these stories weren't forgotten."
The first few episodes of 4th Node feature interviews and insights from some of the principal players from the nascent days of the Utah tech scene.
Novell was among the first Utah tech companies to hit it big, starting out as a computer hardware company but morphing into a business that revolutionized networking software for the emerging personal computer market in the 1980s.

Featured voices in the 4th Node's episodes about Novell include Drew Major, who was the chief architect of Novell's Netware network operating system, an advancement that helped drive the company to a peak $10 billion valuation. Also in the mix is David Bradford, who was Novell's chief counsel and beside helping company CEO Ray Noorda navigate an explosion of growth that took Novell from a boutique Utah County startup to global tech powerhouse, his legal team also initiated a legal action against Microsoft that would lead to a landmark U.S. Supreme Court decision on antitrust practices.
Major and Bradford shared tales of Novell's segue into network software development with Noorda, a University of Utah educated electrical engineer at the helm. It was an innovation that helped turn the personal computer into a powerful, and necessary, business tool while propelling the business into the upper echelons of the then-upstart world of tech.
Bradford shared an anecdote that helps illustrate just how fast Novell grew after its pivot to network software in the mid-'80s.
"In 1985, if you'd invested $1 dollar in any public company, by 1992 your highest return on that $1 would have been Novell," Bradford said on the 4th Node podcast.
Bradford also noted that at its peak valuation, Novell was worth more than all of the operating U.S. airline companies at that time and among the four most valuable companies in the world.
And, in a preview of a future 4th Node exploration, Novell was one of two Utah-based companies on that list, joining fellow Utah County tech firm WordPerfect in the top four. The other two companies were Lotus and Microsoft.
Microsoft figures largely into Novell's story, and some of the most intriguing moments in the podcast, thanks to then-CEO Bill Gates' interest in acquiring the company and a lot of borderline shenanigans and intrigue that accompanied the failed takeover attempt.

Another early 4th Node episode rallies with two pioneers of the Utah venture capital community, Jim Dreyfous and Blake Modersitzki. Dreyfous founded one of the earliest venture firms in Utah, the Utah Tech Venture Fund, and Modersitzki's career arc includes time at both Novell and one-time giant of the word processing software world, WordPerfect.
Dreyfous and Modersitzki offer a great accounting of the advent of Utah-based venture backing for emerging technology innovators and the arc of success that began, in large part, thanks to the stellar performance of very early Utah tech companies like Novell, WordPerfect and, even earlier, computer graphics pioneer Evans and Sutherland.
"For the first time we reached an economy of scale for talent, money and ideas," Dreyfous told the 4th Node hosts. "Big investors from the coast weren't scared anymore ... and the whole environment changed."
Dreyfous would go on to found Pelion Venture Partners, where Modersitzki currently serves as a managing partner. Pelion is among the heaviest of venture heavy hitters in Utah including backing a veritable who's-who of Utah startup success stories including Divvy , Neighbor , MX , Weave and others.
Another early 4th Node episode veers somewhat off the path of Utah tech history but nevertheless captures a story that's absolutely relevant to Utah's business and economic history.
Gail Miller joins Edmunds and Dato for discussion of her husband Larry H. Miller's rise to prominence from his very early days as a car dealer to growing what would become a regional, multichannel business powerhouse that included the NBA's Utah Jazz, the Salt Lake Bees, a highly successful chain of movie theaters, media companies, real estate and more.
Gail Miller took over as head of the business empire after Larry Miller's death in 2009.
In an intro to the episode, Edmunds notes how big a deal the Miller family has become for the state in business, philanthropy, community building and more.
"On 4th Node, we're mostly going to talk about tech," Edmunds said. "But, Utah wouldn't be Utah without the Miller family."
Edmunds and Dato have plans in place to drop regular new episodes of 4th Node and said the podcast is available pretty much wherever you get your podcast fare.










